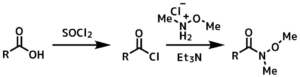
ワインレブアミド (Weinreb amide) は、N,O-ジメチルヒドロキシルアミンのアミドのことである。
主にカルボン酸誘導体をアルデヒドやケトンに誘導する際の合成中間体として使用される。 これは1977年にスティーヴン・ワインレブらによって報告された手法である。
カルボン酸ハロゲン化物やエステル、アミドなどに対し、水素化アルミニウムリチウム (LAH) や水素化ビス(メトキシエトキシ)アルミニウムナトリウム(SMEAH, Red-Al などの商標がある)のような還元剤を用いた場合、2当量のヒドリドが反応してしまいアルコール(アミドの場合はアミン)にまで還元されてしまい、途中に生じるアルデヒドを得ることは難しい。 かさ高い還元剤である水素化トリ t-ブトキシアルミニウムや水素化ジイソブチルアルミニウム (DIBAL-H) を低温で用いるとアルデヒドが得られることもあるが、基質の性質に左右され一般的とはいえない。 グリニャール試薬を反応させてアルキル基で置換することによりケトンを得る場合も同様の問題が生じる。
これはカルボニル基に1当量目のヒドリドやアルキル基が付加して生じる金属アルコキシドが不安定で、容易に脱離基を放出してアルデヒドやケトンになってしまうためである。 アルデヒドやケトンのカルボニル基はカルボン酸誘導体のそれよりも反応性が高く付加を受けやすいため、優先してアルコールやアミンへと反応してしまう。
一方、ワインレブアミド 1 においてはヒドリドやグリニャール試薬など(図では R'M)が求核付加して生じる N-メトキシヘミアミナールが、2つの酸素原子が金属アルコキシドの金属に配位したキレート構造 2 を作ることにより安定化される。 安定化された 2 からはアミノ基の脱離・放出が起こりにくく、系内ではアルデヒドやケトンに変わりにくいため 2当量目の求核剤の付加反応が抑えられる。 付加体 2 は反応終了時に酸で処理することによって加水分解され、その段階で目的とするアルデヒドやケトン 3 を得ることができる。
参考文献




